Образовательная организация структурных подразделений не имеет
Управление Учреждением осуществляется в соответствии с федеральными законами от 12 января 1996 года № 7-ФЗ «О некоммерческих организациях» и от 29 декабря 2012 года № 273-ФЗ «Об образовании в Российской Федерации».
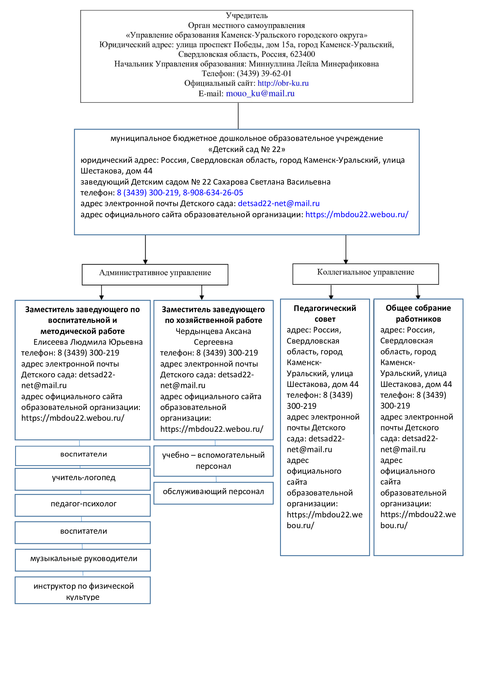
Управление Учреждением осуществляется на основе сочетания принципов единоначалия и коллегиальности.
Единоличным исполнительным органом Учреждения является заведующий Учреждением, который осуществляет текущее руководство деятельностью Учреждения.
Заведующий Учреждения назначается на должность и освобождается от должности Учредителем в соответствии с действующим законодательством и(или) трудовым договором, заключенным заведующим.
При построении организационной структуры управления в детском саду четко выделяются уровни управляющей и управляемой систем, скоординирована деятельность всех субъектов Детского сада, учитывается мнение сотрудников в принятии управленческих решений.
Организационно-управленческая деятельность спланирована с целью развития педагогического процесса, созданию комфортных условий, оптимальному подбору и расстановке кадров, организации педагогического, здоровьесберегающего режимов в системе образовательных и организационных мероприятий.
В Учреждении формируются коллегиальные органы управления, к которым относятся
Общее собрание работников , Педагогический совет
Общее собрание работников Учреждения
Заведующий: Сахарова Светлана Васильевна
Телефон руководителя: т. 8(3439)300-219
E-mail: Адрес электронной почты защищен от спам-ботов. Для просмотра адреса в вашем браузере должен быть включен Javascript.
C 30 марта 2025 года изменился порядок направления в государственные органы, органу местного самоуправления или должностному лицу обращений в форме электронных документов, исключено направление обращений на адрес электронной почты.Соответствующие изменения внесены в Федеральный закон от 2 мая 2006 года № 59-ФЗ «О порядке рассмотрения обращений граждан Российской Федерации» Федеральным законом от 28 декабря № 547-ФЗ
Сайт: https://dou22.obrku.ru/
Место нахождения: г. Каменск-Уральский, Свердловская область, ул. Шестакова д. 44
Структура, порядок формирования, срок полномочий и компетенция органов управления Учреждением, порядок принятия ими решений и выступления от имени Учреждения устанавливаются Уставом в соответствии с законодательством Российской Федерации.
Общее собрание работников
муниципального бюджетного дошкольного образовательного учреждения
«Детский сад № 22»
Общее собрание работников Учреждения. В состав Общего собрания работников Учреждения включаются все работники Учреждения с момента приема на работу и до прекращения трудовых правоотношений с Учреждением. Деятельность Общего собрания работников Учреждения регламентируется настоящим Уставом и Положением о нем, утверждаемым заведующим Учреждением. Общее собрание работников действует постоянно. Из состава Общего собрания работников Учреждения избираются председатель, его заместитель и секретарь.
Компетенция Общего собрания работников Учреждения:
1) ежегодное заслушивание отчета заведующего по итогам работы Учреждения;
2) внесение предложений по изменению и (или) дополнению Устава Учреждения, принятию его новой редакции;
3) образование рабочих групп, комиссий в составе Общего собрания работников Учреждения по решению вопросов, отнесенных к его компетенции;
4) выступление от имени Учреждения в порядке, определенном пунктом 4.11. Устава;
5) рассмотрение плана финансово-хозяйственной деятельности Учреждения и изменений в него; 6) рассмотрение проекта программы развития Учреждения;
7) избрание представителей в комиссию по трудовым спорам (при ее наличии);
8) внесение предложений по организации работы Учреждения;
9) содействие организации и улучшению условий труда работников Учреждения;
10) содействие организации конкурсов, соревнований и других массовых мероприятий Учреждения;
11) содействие совершенствованию материально-технической базы Учреждения, благоустройству его помещений и территории;
12) принятие решений о выдвижении работников Учреждения на получение премий, грантов и т.д., об участии Учреждения в областных, федеральных и международных конкурсных мероприятиях, о направлении ходатайств, представлений на награждение работников Учреждения государственными и отраслевыми наградами и т.д.;
13) рассмотрение предложений заведующего Учреждением о совершении сделок по распоряжению имуществом, которым в соответствии с законодательством Учреждение не вправе распоряжаться самостоятельно; предложений заведующего Учреждением о совершении крупных сделок; предложений заведующего Учреждением о совершении сделок, в совершении которых имеется заинтересованность;
14) внесение предложений о необходимости разработки локальных нормативных актов, связанных с направлениями деятельности Учреждения и в пределах полномочий Общего собрания работников Учреждения, представление их проектов;
15) выполнение поручений заведующего Учреждением и представление в его адрес необходимых документов и информации. 4.9.2. Заседания Общего собрания работников Учреждения созываются не реже четырех раз в год.
Заседание правомочно, если на нем присутствует не менее половины состава Общего собрания работников Учреждения, кроме вопросов, определенных пунктами 4, 12, 13 пункта 4.9.1. Устава, по которым на заседании должно присутствовать не менее 2/3 состава Общего собрания работников Учреждения.
Решения принимаются простым большинством голосов присутствующих на Общем собрании работников Учреждения, а по вопросам, определенным пунктами 4, 12, 13 пункта 4.9.1. Устава, – квалифицированным большинством голосов.
На заседания Общего собрания работников Учреждения могут приглашаться заинтересованные лица (участники образовательных отношений, участники отношений в сфере образования).
Все решения Общего собрания работников Учреждения оформляются протоколами, которые подписываются председателем и секретарем.
При отсутствии председателя его функции исполняет заместитель председателя.
Решения Общего собрания работников Учреждения доводятся до сведения работников Учреждения, если затрагиваются их интересы, в определяемой им форме.
Решения Общего собрания работников Учреждения, реализуемые через приказы заведующего Учреждением, обязательны для исполнения всеми работниками Учреждения и участниками образовательных отношений Учреждения.
Ежегодно Общее собрание работников Учреждения отчитывается по проделанной работе перед участниками образовательных отношений в определяемой им форме.
Положение Об общем собрании работников
Педагогический совет
муниципального бюджетного дошкольного образовательного учреждения
«Детский сад № 22»
Педагогический совет действует в целях развития и совершенствования образовательного процесса, повышения профессионального мастерства и творческого роста педагогических работников, соблюдения прав воспитанников, - постоянно.
Каждый основной работник Учреждения, занятый образовательной деятельностью (руководящие и педагогические работники), с момента приема на работу и до прекращения трудовых правоотношений с Учреждением являются членами Педагогического совета Учреждения.
Педагогический совет действует на основании настоящего Устава и Положения о Педагогическом совете, утверждаемого приказом заведующего Учреждением.
Председатель Педагогического совета, его заместитель и секретарь Педагогического совета Учреждения избираются из его состава.
При отсутствии председателя его функции исполняет заместитель председателя.
Компетенция Педагогического совета Учреждения:
1) рассмотрение вопросов организации образовательного процесса, учебно-методической деятельности Учреждения;
2) обобщение, анализ и оценка результатов деятельности педагогического коллектива по определенным направлениям;
3) выступление от имени Учреждения в порядке, определенном пунктом 4.11. Устава;
4) внесение предложений об изменении отдельных разделов и тем образовательных программ, об изучении дополнительных разделов из других образовательных программ;
5) рассмотрение вопросов об организации дополнительных образовательных услуг, в том числе платных;
6) рассмотрение вопросов повышения квалификации и подготовки педагогических кадров;
7) образование рабочих групп, комиссий в составе Педагогического совета Учреждения по решению вопросов, отнесенных к его компетенции;
8) участие в работе по профилактике безнадзорности и беспризорности несовершеннолетних, по защите прав воспитанников Учреждения;
9) решение вопросов, связанных с аттестацией педагогических работников, в пределах полномочий Учреждения;
10) рассмотрение информации и отчетов педагогических работников Учреждения; докладов представителей организаций и учреждений, взаимодействующих с Учреждением; по вопросам образования детей и соблюдению их прав; актов органов государственного контроля (надзора) и других вопросов по образовательной деятельности Учреждения;
11) внесение предложений о необходимости разработки локальных нормативных актов, связанных с направлениями деятельности Учреждения и в пределах полномочий Педагогического совета Учреждения, представление их проектов;
12) создание творческих объединений, в том числе временных, с приглашением специалистов различного профиля, консультантов для выработки рекомендаций;
13) внесение предложений по изменению и дополнению Устава Учреждения.
Заседания Педагогического совета Учреждения созываются не реже одного раза в квартал.
Заседание правомочно, если на нем присутствует не менее половины состава Педагогического совета, кроме вопроса, определенного пунктом 3 пункта 4.10.1. Устава, по которому на заседании должно присутствовать не менее 2/3 состава Педагогического совета Учреждения.
Решения принимаются простым большинством голосов присутствующих на Педагогическом совете Учреждения, а по вопросу, определенному пунктом 3 пункта 4.10.1. Устава, – квалифицированным большинством голосов.
На заседания Педагогического совета Учреждения могут приглашаться заинтересованные лица (участники образовательных отношений, участники отношений в сфере образования).
Все решения Педагогического совета Учреждения оформляются протоколами, которые подписываются председателем и секретарем.
Решения Педагогического совета Учреждения доводятся до сведения всех участников образовательных отношений Учреждения, если затрагиваются их интересы, в определяемой Педагогическим советом форме.
Решения Педагогического совета Учреждения, реализуемые через приказы заведующего Учреждением, обязательны для исполнения всеми участниками образовательных отношений Учреждения.
Ежегодно Педагогический совет Учреждения отчитывается по проделанной работе перед участниками образовательных отношений в определяемой им форме.
Положение о Педагогическом совете
В целях учета мнения родителей (законных представителей) воспитанников и педагогических работников по вопросам управления Учреждением и при принятии Учреждением локальных нормативных актов, затрагивающих их права и законные интересы по инициативе родителей (законных представителей) воспитанников и педагогических работников
в Учреждении:
1) создается совет родителей (законных представителей) воспитанников (далее - совет родителей). Деятельность данного органа, его состав, компетенция, порядок принятия решений регламентируются Положением о нем, принимаемым на общем родительском собрании Учреждения;
Положение о Совете родителей Детского сада № 22
2) действует первичная профсоюзная организация работников Учреждения. Деятельность
первичной профсоюзной организации осуществляется в соответствии с ее уставом.



